TC4钛合金作为α+β型双相合金,具备高比强度、良好的耐腐蚀性以及高耐热性等卓越性能,在航空航天、深浅探测、精密制造、医疗器械等前沿领域得到广泛应用[1-2]。鉴于钛合金制成的零件,特别是TC4钛合金制成的压气机叶片和风扇叶片等往往具有较高附加值,且因其服役环境较为恶劣,故而在设计制造时,要求 TC4钛合金制零件具备较长的服役寿命 [3]。在服役过程中, TC4钛合金零部件受高周或超高周交变载荷作用,其叶片表面通常会萌生疲劳裂纹,形成表面缺陷,进而引发零部件的局部失效 [4−6]。这些表面缺陷是致使零件整体报废的主要因素,若 TC4钛合金制零件在服役过程中出现破坏,将造成严重的人员伤亡和经济损失 [7]。
应力集中系数作为定量表征缺口应力集中程度的关键指标,主要用于表面缺陷材料的强度分析以及微观裂纹扩展分析,在工程实践以及机械装备的制造与检验领域得到广泛应用 [8−10]。 Ding等 [11−12]通过数值模拟分析与修正 Morrow法,结合表面缺口钛合金板件试验,对 TC4钛合金曲面缺口件的应力集中系数展开估算,构建了基于数值分析的应力集中计算模型。研究表明,钛合金缺口件二次裂纹密度与缺口宽度呈负相关关系。HSU等[13]借助应力集中系数,对电火花加工 TC4钛合金孔的加工质量进行评估,并分析得出影响加工质量的主要因素为电火花加工能量束的集中程度。 Zhang等 [14]结合应力集中系数,对医用钛合金 Ti2448缺口损伤的形成路径及成因进行剖析,明确了合金缺口敏感性的成因在于纳米级别调制,进而获得了平衡强度与损伤容限性能的新策略。
近年来,伴随神经网络算法相关研究的迅猛发展,诸多人工智能算法与机器学习算法在材料强度分析及安全性预测领域得到了广泛应用 [15]。同时,在微观裂纹扩展对疲劳强度的影响方面,也有众多学者开展了相关研究 [16]。 Wang等 [17−18]以 Murakami方程为基础,结合 BP神经网络算法,探究了钛合金 TC17表面划痕对疲劳极限的作用机制,构建并验证了具有表面划伤的 TC17钛合金轴疲劳寿命评估的新模型。
基于上述研究内容,本研究以 TC4钛合金缺口试件为研究客体,开展不同缺口深度下的断裂数值模拟与试验,并结合应力集中系数,剖析缺口深度对 TC4钛合金断裂行为的影响。综合试验与仿真结果,运用长短期记忆(long short-term memory,LSTM)
神经网络对 TC4钛合金缺口件的断裂行为进行分析计算,借助人工神经网络算法处理非线性关系的优势,全面分析缺口物理参量对TC4钛合金断裂行为的影响。最终,提出一种可应用于工程实践的、基于LSTM神经网络的TC4钛合金表面缺口对其断裂力学性能作用规律的分析方法。
1、钛合金缺口试件断裂数值仿真
1.1表面缺口钛合金试件有限元分析
对于表面缺口试件,其缺口部位失效的主要原因是应力集中。使用常规的测量手段难以获得应力集中部位的应力信息,因此使用数值模拟技术对断裂过程及缺口应力集中现象进行分析。根据GB228.1一2021《金属材料拉伸实验第 1部分:室温实验方法》,板材试件形状为“哑铃型”,缺口设置在试件中部,使用 Abaqus软件建立 TC4钛合金缺口件数值仿真模型,几何尺寸和缺口局部细化如图 1所示。TC4钛合金作为弹性材料,断裂过程受弹塑性共同作用。 Johnson-Cook本构模型(下称 JC本构模型)广泛应用于金属材料断裂失效分析。模型表达式为:

式中: A为参考应变率与参考温度下材料的屈服强度, B为材料的硬化模量, n为材料的硬化指数,在室温条件下,公式后两项恒为 1,因此影响材料断裂性能的主要参数为 A、 B和 n。本试验材料 JC本构模型如表 1所示 [17]:
表 1 TC4钛合金 JC本构模型参数
Tab 1 JC constitutive model parameters of TC4 titanium alloy
| A | B | n | C | m |
| 945 | 652 | 0.45 | 0.0195 | 0.0195 |
以表面无缺口试件(TC4-S)为参考,设计缺口深度作为主要变量,建立不同缺口深度的钛合金缺口件模型,缺口深度分别设定为 1、 1.5、 2.5 mm,分别对应较浅(TC4-L)、中等(TC4-M)、较深(TC4-D)3组试件。缺口长度与宽度分别为 10mm和 5mm。通过网格布种对缺口区域进行网格细分,使用C3D10M四面体网格,获得网格数量 7825~14178个。试件一端施加全固定约束,另一端施加等速率位移加载,加载速率为 1.3 mm/min,数值仿真过程中,载荷从 0 MPa开始加载直至试件断裂结束。

1.2结果分析与讨论
TC4缺口试件断裂过程仿真结果如图2所示,缺口试件的断裂过程分为3个阶段。第1阶段,随着载荷持续作用,试件缺口位置产生应力集中,并随着载荷的增加而逐渐加剧。当应力上升至最大值后,进入断裂第2阶段,缺口底部产生裂纹,并沿应力梯度方向扩展,试件发生局部断裂。随着断裂的进一步扩展,试件进入断裂第3阶段,试件缺口部位发生严重颈缩并最终断裂。

如图 3所示为不同缺口尺寸试件断裂过程中的最大应力,应力集中主要出现于缺口底部和缺口边缘两端,并沿缺口中心向两端延伸。将缺口底部仿真结果最大点的第一主应力作为表面缺口局部最大单元应力值,可以获得不同缺口深度下的应力集中数据。其中如图3(a)所示,随着缺口深度的增加,缺口底部最大单元应力曲线整体左移,材料失效更早发生。图3(b)所示为缺口失效点最大单元应力,当缺口深度未超过板厚50%时,应力集中与缺口深度正相关,失效点应力整体上升。当缺口深度超过板厚50%时,由于主体断裂行为由塑性变为脆性,失效点应力属性变化,失效点应力下降。

1.3应力集中系数
应力集中系数是定量分析缺口应力集中程度的关键参数[19-20]。应力集中系数定义为弹性阶段缺口根部最大应力 σN 与名义应力 σR 之比,记为 KT 。根据有限元分析,当施加应力达到1MPa时,缺口底部应力与应力集中系数在数值上相等。基于此获得各缺口深度下的线弹性应力集中系数,如图4所示。可以看出,应力集中系数与缺口深度呈近似线性关系并满足关系式: KT = 0.30x + 0.99。

Inglis公式提出了针对椭圆形中心孔的应力集中表达式:

式中: d为缺口深度, mm; ρ为缺口底部曲率半径,mm。Inglis公式具有简单,参数少的优点,但针对较深缺口, Inglis公式的预测误差较大,由于缺口的宽度和试样的厚度等因素也对缺口应力集中存在一定程度的影响, Ding等 [9]针对不同试件深度、厚度和缺口尺寸进行大量数据拟合分析,提出基于试件厚度的修正 Inglis公式:

式中h为试件厚度,mm。分别将3种试件缺口参数代入获得不同缺口深度条件下的应力集中系数 Kt ,定义误差 ε为:

表2不同深度应力集中系数仿真值和计算值及误差
Tab 2 Simulated and calculated values and errors of stress concentration coefficients at different depths
| d/mm | 仿真值 KT | 计算值 Kt,D | 误差 εD/ | 计算值 Kt,D | 误差 ε ing % |
| 1 | 1.277 8 | 1.3976 | 9.38 | 1.3976 | 9.41 |
| 1.5 | 1.4780 | 1.4869 | 0.60 | 1.4850 | 0.64 |
| 2.5 | 1.6402 | 1.6286 | -0.71 | 1.6286 | -0.66 |
可以看出,对于3种缺口深度的试件,修正后的Inglis公式拟合误差率均小于10%,在缺口深度1mm和1.5mm试样分析中,修正后的Inglis公式相比传统 Inglis公式在准确性上有一定程度的提高。因此可以认为修正后的Inglis公式能够较为准确地计算不同缺口深度下TC4钛合金的应力集中系数。
2、钛合金缺口试件断裂试验
2.1试验试件材料及方法
试验试件 TC4钛合金的化学成分如表 3所示。TC4试件的热处理工艺为:1)再结晶退火,760C保温1h,随炉冷后冷却至590℃后空冷;固溶时效处理, 850 ∘C保温 1h,水淬;保温 8 h,空冷。TC4钛合金试件的力学性能如表4所示。
为定量分析缺口深度对试件断裂行为的影响,结合仿真结果,实验中同样设计TC4-L、TC4-M及TC4-D3组试件。缺口几何尺寸与有限元仿真一致,试件几何形状如图5(a)所示。试验所用系统为馨标
电子万能试验机,拉伸速率 1.3 mm/min,应变采集使用 LEC50轴向电子引伸计,标距 50 mm,量程±2.5mm,如图 5(b)所示。
表 3 TC4钛合金试样化学成分
Tab 3 Chemical composition of titanium alloy TC4 sample
| 元素 | Al | V | Fe | C | N | H | O |
| 质量分数 | 6.2 | 4.1 | 0.30 | 0.10 | 0.05 | 0.015 | 0.20 |

表4TC4钛合金试件力学性能
Tab 4 Mechanical properties of titanium alloy TC4 specimens
| 抗拉强度 Rm/MPa | 屈服强度 os/MPa | 延伸强度 Rp0.2/MPa | 伸长率 % | 收缩率 % | 弹性模量 E/GPa | 泊松比 |
| 945 | 892 | 835 | 10 | 25 | 115 | 0.34 |
2.2试验结果及分析
图6为不同缺口深度的TC4钛合金板材试件的位移载荷P-L曲线。如图6(a)所示,对于表面无缺口的试件,其断裂过程会出现大范围的均匀塑性
变形和颈缩。缺口的几何参数对于断裂行为具有较大影响,对于缺口深度1.0mm和1.5mm,其断裂过程中仍存在均匀塑性变形,说明试件断裂前发生屈服,但其塑性变形较表面无缺口试件大幅缩小。
对于缺口深度2.5mm试件,其断裂发生于均匀塑性变形前的应变硬化阶段。随着缺口深度的增加,试件的整体承载能力下降,硬化程度降低。
名义应力适用于工程上分析拉伸试件的危险截面承载状况[20]。其定义为外载荷与试件承载部位净截面积之比:

经过测量, 3种缺口深度试样承载区域的平均等效横截面积 S0分别为 87.90、88.52、88.06 mm²。试样两端夹持部分不参与试样整体变形,因此分析试样中间过渡部分与试验部分可以获得试样的整体应变随加载变化的曲线。经过计算获得试样加载过程的名义应力,最终得到加载过程的名义应力-整体应变关系,如图7所示。依据曲线及试件的断裂极限分析可以得出:1)对于缺口深度 1mm和 1.5 mm的试件,由于其断裂过程受弹性变形和塑性变形的共同作用,断裂为延展性断裂。2)而对于缺口深度 2.5 mm的试件,其断裂发生在塑性变形之前,断裂形式为弹性剪切断裂。
根据应力集中系数预测 K t,D 修正公式(3)和应力集中系数 K T 的定义,可以对局部应力进行推算,获得3种深度条件下的最大应力集中点应力变化曲线,如图7(b)所示。3种缺口深度试件屈服前的极限应力分别为1210.49、1193.03、1118.74MPa,与仿真缺口底部最大单元应力误差分别为15.46%、4.06%、6.87%。基于以上仿真结果可以分析:在断裂过程中,应力集中现象集中发生于缺口底部,应力集中最为严重的部位集中于缺口底面下方区域。随着缺口深度增加,由于缺口边界等区域几何形状突变加剧,应力集中现象进一步加剧,局部应力进一步增加。结合应力云图分析, 3种缺口深度的试件,缺口底部应力集中现象对断裂行为起主导作用,缺口根部垂直纵深和曲面顶部交界部位由于存在曲率突变区域,该区域的应力突变现象十分剧烈,因此在裂纹打磨过程中需要尽量避免此种类的缺口,尽量保证缺口部位的曲率平滑。


2.3不同缺口深度下试件的断裂行为
图 8为各缺口试件断口截面的宏观组织和仿真截面图。对于延展性断裂的(TC4-L、TC4-M)缺口试件,其断裂失效最初发生于缺口底部,并向两端扩展(图 8a、b)。缺口存在絮状或颗粒状明显塑性断裂特征,影响试样断裂的主要因素为塑性断裂。对于弹性断裂的(TC4-D)缺口试件,其断裂面比较平齐,断裂面与载荷方向呈 45 ∘夹角(图 8 c)。虽然试件 TC4-D和试件 TC4-S的断裂面均为 45 ∘剪切面,但二者的断裂形式和断裂面宏观表面形貌均不相同,表面无缺口试样的主要断裂形式为塑性断裂,而试样 TC4-D的主要断裂形式为弹性剪切断裂。

3、基于 LSTM的 TC4缺口件力-变形规律分析
LSTM神经网络在一维序列分类和拟合上具有较高的优势 [21−23]。其结构如图 9所示。 LSTM层的每一个神经元中都具有独特的输入门、遗忘门和输出门结构,如图 10所示, LSTM神经网络通过 3种门结构,允许其在运算中对数据进行判断、保存和更新。

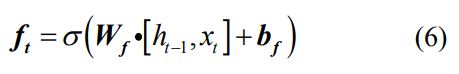
如图 11所示,LSTM层中每个神经元中均包含两种重要的归一化函数 Sigmoid和 tanh [24]。 x t 表示t时刻神经元的输入, h t 表示 t时刻神经元隐含状态, C t 表示 t时刻神经元输出状态。神经元在读取上一时刻的输出的 h t−1 和当前时刻输入的 x t ,在通过Sigmoid函数激活后,获得输入向量 f t ,由于 Sigmoid函数特性,每一个向量 f t 维度均在 0~1之间,在通过遗忘门时, 0完全舍弃, 1完全保留,最后再与细胞状态 C t−1 相乘。 f t 的表达式为

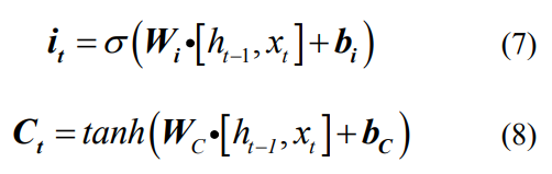
式中: W f 为权值向量; h t−1 为前一时刻输出; x t 为当前时刻输入; b f 为偏置向量; σ为 Sigmoid函数。输入门获得输入信息的方式与遗忘门相同,均是通过共享权值与偏置向量进行运算,并通过 tanh层进行相似变换得到候选向量 C t 。

式中: W i 、W C 均为权值向量; b i 与 b c 为偏置向量。在获得以上输入内容后,可以对当前时刻神经元状态进行更新,即:

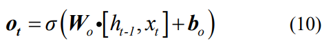
输出门控制记为:

最终输出由输出门控制和神经元状态共同构成。



综上所述,LSTM神经网络通过门函数来控制细胞状态和调整权值向量[25],实现对所需信息的筛选和运算并丢弃不需要的数据,从而保持在长时间序列处理上的高效性和准确性。
试验中构建监督式LSTM神经网络,激活函数选择Sigmoid函数,损失函数选择均方误差函数,优化算法选择Adams,指数衰减率β1、β2分别取0.9和0.999。

通过对实验获得的样本数据进行分割采样,采样频率 0.1 s,获得各条件下训练集样本数量分别为1401、641、576、475。训练集作为输入,对强度模型进行建立和误差检测,当误差满足模型需求时,保存模型,否则调整参数继续训练。训练结果如图12所示。4种缺口深度下的钛合金断裂模型预测误差(MSE)分别为0.02、2.13、3.10和1.34,可以认为具有良好的拟合效果。
4、结论
本文针对TC4钛合金叶片再制造过程中会出现的表面打磨缺口深度对其断裂性能的影响进行了一系列实验仿真分析,并利用LSTM神经网络构建了钛合金强度分析模型,最终获得以下结论:
(1)表面缺口的存在在一定程度上降低了TC4钛合金工件的承载能力,且随着缺口深度的增加,TC4钛合金工件的承载能力进一步降低。当缺口深度超过板厚50%时,由于缺口部位的承载能力过低,试件断裂形式转变为脆性断裂,此时的缺口试样承载能力远低于表面无缺口试样。
(2)引起表面缺口TC4钛合金工件强度失效的主要原因来自缺口底部的应力集中,且随着缺口深度的递增,应力集中现象愈发严重。应力集中系数可定量表达应力集中现象的严重程度,修正后的Inglis公式对于表面存在椭圆形缺口试件的应力集中系数预测准确率高于90%,在工程保守设计中具有一定的应用意义。
(3)结合修正Inglis公式和实验结果分析所得应力集中现象集中发生于试件的缺口底部,但在边界等存在有曲率突变的区域存在显著恶劣的应力集中现象。因此在缺口件的处理过程中,为减少应力集中带来的负面影响,需要尽可能避免产生此类表面。
(4)利用LSTM构建用于TC4钛合金工件表面缺口断裂行为的分析模型,通过对模型参数的调整,经过训练得到的强度分析模型的预测误差MSE均小于10,可以认为具有良好的预测效果。因此该模型适用于分析和预测TC4钛合金工件的强度分析,对于TC4钛合金工件的强度破坏评价具有一定的意义。
参考文献:
[1]王金龙,高斯博,杨宇星,等.航空发动机用钛合金TC17疲劳失效研究[J].哈尔滨工程大学学报,2021,42(8):1203-1208.
WANG Jinlong, GAO Sibo, YANG Yuxing, et al. Fatigue failure analysis of titanium alloy TC17 for aircraft engine[J]. Journal of Harbin engineering university,2021,42(8):1203-1208.
[2]郭育豪,刘刚,宋育泽.钛合金室温受压蠕变损伤本构模型[J].哈尔滨工程大学学报,2024,45(4):642-650.GUO Yuhao, LIU Gang, SONG Yuze. Creep damage constitutive model of titanium alloys under compression at room temperature[J]. Journal of Harbin engineering university,2024,45(4):642-650.
[3] WANG Jinlong, PENG Wenjie, YU Jing, et al. Fatigue evaluation of TC17 titanium alloy shaft with surface
scratch based on FEA and fracture mechanics[J].Engineering failure analysis,2020,117:104961.
[4]仲赛风,靳国永,陈玉坤,等.旋转叶片的振动分析与结构优化研究综述(英文)[J].Journal of Marine Science and Application,2025,24(01):120-136.
[5] ZUO Shiwei, MIAO Qiang, LIANG Wenping, et al.Effects of pretreatment on borocarburized of TC4 titanium alloy[J]. Materials research express,2019,6(5):056505.
[6]邓德伟,于静,刘倩倩,等.裂纹止裂愈合技术发展现状及展望[J].机械工程学报,2016,52(7):122-132.
DENG Dewei, YU Jing, LIU Qianqian, et al. States and prospects of crack arrest and healing technology[J].Journal of mechanical engineering,2016,52(7):122-132.
[7] RODRGUEZ-SANCHEZ J E, RODRGUEZ-CASTELLANOS A, PREZ-GUERRERO F, et al.Offshore fatigue crack repair by grinding and wet welding[J]. Fatigue& fracture of engineering materials&structures,2011,34(7):487-497.
[8]NISHIMURA Y, YANASE K, TANAKA Y, et al. Effects of mean shear stress on the torsional fatigue strength of a spring steel with small scratches[J]. International journal of damage mechanics,2020,29(1):4-18.
[9]NISHIMURA Y, YANASE K,IKEDA Y,et al. Fatigue strength of spring steel with small scratches[J]. Fatigue&fracture of engineering materials& structures,2018,41(7):1514-1528.
[10]王小明.均匀拉伸开孔加筋无限板的应力半解析算法[J].哈尔滨工程大学学报,2025,46(01):181-188.
[11]DING Mingchao,ZHANG Yuanliang, LI Bo,et al. Total fatigue life prediction of TC4 titanium alloy based on surface Notch[J]. Engineering failure analysis,2022,131:105868.
[12]DING Mingchao, ZHANG Yuanliang, XIAN Hongwei.Estimation on stress concentration factor of rem-anufacturing notch for TC4 titanium alloy[C]// JE Proceedings of 2019 5th International Conference on Advances in Energy Resources and Environment Engineering(ICAESEE 2019)(VOL.1).Chongqing:Yantai University,2019:11-15.
[13]HSU W H,CHIEN Wanting. Effect of electrical discharge machining on stress concentration in titanium alloy holes[J]. Materials,2016,9(12):957.
[14] ZHANG Jinrui, SHAH S A A, HAO Yulin, et al. Weak fatigue Notch sensitivity in a biomedical titanium alloy exhibiting nonlinear elasticity[J]. Science China materials,2018,61(4):537-544.
[15] OZKAN M T, ERDEMIR F. Determination of stress concentration factors for shafts under tension[J]. Materials testing,2020,62(4):413-421.
[16]范航舟,梅红岩,赵勤,等.融合双注意力机制的 GNN多维时间序列预测[J].智能系统学报,2024,19(05):1277-1286.
[17] LI Hui, WANG Xuesong, DING Shifei. Research and development of neural network ensembles: a survey[J].Artificial intelligence review,2018,49(4):455-479.
[18] AWD M, MUNSTERMANN S, WALTHER F. Effect of microstructural heterogeneity on fatigue strength predicted by reinforcement machine learning[J]. Fatigue& fracture of engineering materials& structures, 2022,45(11):3267-3287.
[19] WANG Jinlong, PENG Wenjie, BAO Yongjie, et al.VHCF evaluation with BP neural network for centrifugal impeller material affected by internal inclusion and GBF region[J].Engineering failure analysis,2022,136:106193.
[20] LIN Huaixin, JIN Gang, ZHAN Qiyun, et al. Mechanical properties and constitutive model of TC4 titanium alloy at cryogenic[J]. Journal of materials engineering and performance,2024,33(24):13731-13743.
[21]崔佳旭,王恩,吴春国,等.人工智能驱动的复杂动态系统表征与建模[J].计算,2025,1(06):15-31.
[22]张波,胡昌华,张浩,等.机器学习应用于随机退化设备剩余寿命预测的综述[J].哈尔滨工程大学学报,2024,45(09):1783-1790.
[23]杨光,雷宏刚,焦晋峰.钢结构用摩擦型高强度螺栓应力集中系数解析解[J].科学技术与工程,2019,19(15):233-237.
YANG Guang, LEI Honggang, JIAO Jinfeng. Analytical solution of stress concentration factor of frictional high-strength bolt for steel structure[J]. Science technology and engineering,2019,19(15):233-237.
[24][24] SCHWAB R, HARTER A. Extracting true stresses and strains from nominal stresses and strains in tensile testing[J]. Strain,2021,57(6):e12396.
[25]XIAO Lei, HUA Jianmin, LI Heng, et al. Quantitative analysis on post-fire-resistant performance of high-strength steel plate girders using LSTM[J]. Journal of constructional steel research,2022,199:107588.
(注,原文标题:基于长短期记忆网络的航空用TC4钛合金缺口件断裂行为分析_张红哲)
相关链接